近日,我院焦念志院士在天然水体碳汇研究领域取得重要进展,相关研究成果以“Correcting a major error in assessing organic carbon pollution in natural waters”为题发表于顶级学术期刊《Science Advances》。
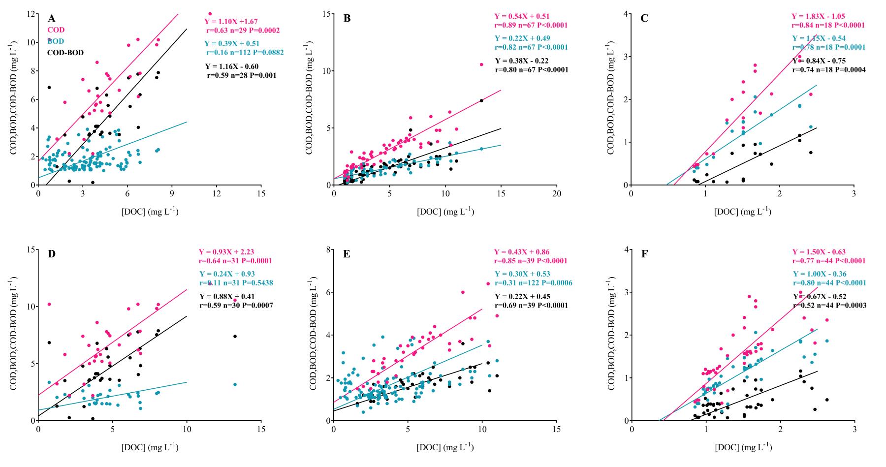
化学需氧量(Chemical Oxygen Demand, COD)是以化学法测量水体中可被氧化的还原性物质的量。近一个世纪以来,该指标被广泛运用于评价各类水环境的有机污染程度。然而,天然水环境中同时含有活性溶解有机碳(LDOC)和惰性溶解有机碳(RDOC),LDOC被微生物降解后可导致水体氧耗尽、酸化及CO2排放,是造成水环境问题的“罪魁祸首”;而RDOC是有利于调节气候的碳汇。焦念志院士携团队及国内外合作者在全球范围内开展多种天然水环境(森林、湖泊、河流、海洋)调查,发现COD对LDOC和RDOC均有氧化作用,揭示COD指标错误囊括了碳汇(RDOC),过度评估了天然水体污染。特别在高纬度天然水体中,RDOC甚至可达90%。因此,发展新方法和新标准,将以往被错判的“迷失碳汇”从天然水环境污染物中区分出来,为准确评判水体碳汇和实现碳中和目标提供技术支撑。该研究还提出用光电法测量生物需氧量指标以代替COD法,可望更准确和有效地评价自然水环境中的有机污染。
焦念志院士为该论文的第一作者和通讯作者,与国内外多个单位的学者共同合作,得到国家自然科学基金(批准号:91751207和41861144018)等项目的资助和支持。
全文链接:https://advances.sciencemag.org/content/7/16/eabc7318
