海豹科动物能否根据环境噪声强度变化调节其发声特征,是海洋哺乳动物声学领域的研究难点之一。我院许肖梅教授课题组与汕头大学合作开展了我国辽东湾斑海豹水下通信的研究,分析了斑海豹四种发声类型声学特征与环境噪声强度变化的关系。相关成果“Spotted seals Phoca largha underwater vocalizations in relation to ambient noise”于近日在线发表于海洋生态学TOP期刊Marine Ecology Progress Series上。 
图1. 斑海豹水下发声类型
海洋哺乳动物在水下生存高度依赖声信号进行通信,部分动物能够采用不同的策略调整自身发声,以减弱环境噪声变化的影响。例如,一些鲸豚类动物具备根据环境噪声调节其发声的能力,但鳍足类动物是否具有该能力还鲜有报道。仅有两项研究证明了港海豹(Phoca vitulina)和髯海豹(Erignathus barbatus)这种调节能力缺少或较弱。
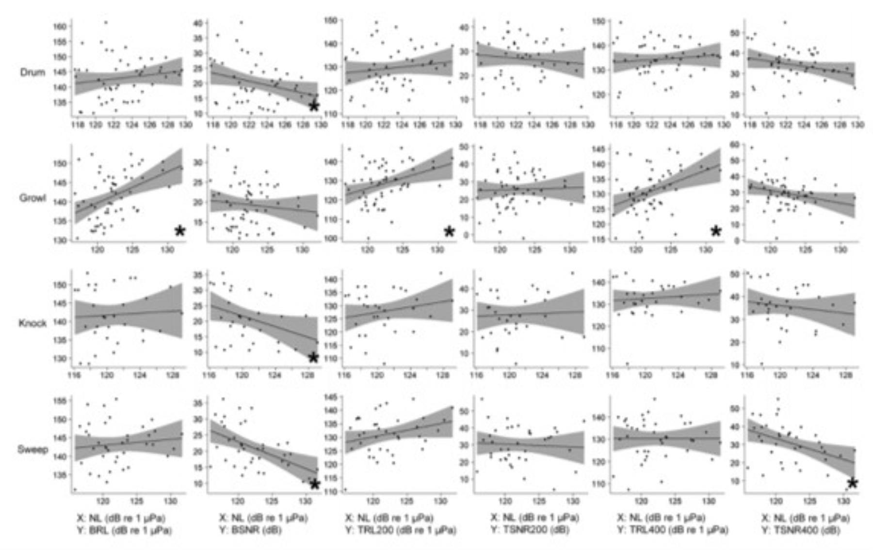
斑海豹是国家一级保护动物,每年秋冬季洄游至我国辽东湾,在繁殖期水下发声非常频繁。该论文通过对辽东湾斑海豹四种发声类型(Drum、Growl、Knock和Sweep)的记录与提取,利用统计模型分析了其时、频、幅多种声学特征随环境噪声变化的情况,并利用听觉临界值(CR)模型判断了各类发声水下的掩蔽情况。研究发现,在斑海豹水下声信号没有被环境噪声掩蔽的情况下,该物种能够随环境噪声的增大而显著地增大其Growl声的宽带和窄带发射声压级,且Growl声的信噪比没有显著改变,说明斑海豹可能有一定的随噪声调节声音幅度的能力。该能力在鳍足类动物中属于首次发现。对于其它三种发声,声信号的幅度并不随噪声增大而显著增大。同时,四种声信号的时长、频率、带宽参数均不随噪声改变而显著变化。该研究对理解斑海豹水下如何根据噪声变化调整其声信号和未来评估人类噪声对斑海豹发声的影响都具有重要意义。

图2. 斑海豹发声随水下噪声变化
此项研究成果通过国内外课题组紧密合作完成。论文通讯作者为我院许肖梅教授,论文第一作者为我院博士毕业生杨亮亮(现就职于汕头大学),合作者为英国纽卡斯尔大学自然与环境科学学院Per Berggren教授。研究工作得到了国家自然科学基金(No. 41976178和41676024)项目的资助,斑海豹声数据采集得到了辽宁海洋水产科学研究院的帮助。
论文来源:
Yang L, Xu X, Berggren P (2022) Spotted seal Phoca largha underwater vocalisations in relation to ambient noise. Mar Ecol Prog Ser 683:209-220.
论文链接:
https://doi.org/10.3354/meps13951